生成AI

最終更新日:2026/04/23
OpenAI、生命科学分野向けAI発表
米OpenAIは、生命科学分野向けモデル「GPT-Rosalind」を発表しました。創薬や分子生物学などの研究支援を目的とし、文献解析や実験計画など複雑なワークフローの効率化を図ります。
このニュースのポイント
米OpenAIは2026年4月16日(現地時間)、生命科学分野向けに設計されたAIモデル「GPT-Rosalind」を発表しました。生物学、創薬、トランスレーショナル医学といった研究領域での支援を目的に開発されたモデルで、化学、タンパク質工学、ゲノミクスにおけるツールの活用と理解の向上を支援します。
OpenAIによると、米国で新薬の標的発見から規制当局の承認取得までには10〜15年もの歳月を要します。特に初期段階の研究は重要ですが、膨大な文献や実験データ、複雑な仮説検証などに多くの時間を要してきました。
「GPT-Rosalind」は、この課題を解決するために設計されました。本モデルの名称は、DNAの構造解明に貢献し、現代分子生物学の基礎を築いたRosalind Franklin氏にちなんでいます。

本モデルは、既存のエビデンス、データツール、実験など、現代の科学研究に対応するよう構築され、分子やタンパク質、遺伝子、経路、疾患関連生物学などに関する推論が可能です。
加えて、文献レビュー、配列と機能の解釈、実験計画、データ分析といった多段階ワークフローにおいて、複数のデータやツールを横断的に活用し、研究者の意思決定を補助する設計となっています。

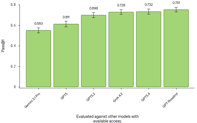
本モデルの性能面では、生物学のさまざまな分野における推論能力、実験結果の解釈やデータ解析といった研究ワークフローで高い有用性を示しました。「GPT-5」「GPT-5.2」「GPT-5.4」より高いスコアを示しており、科学研究の一連のプロセス全体にわたる進展が確認されています。

さらに、実務に近いバイオインフォマティクスやデータ分析を想定した「BixBench」において、本モデルは最高水準の性能を示しました。
また、本モデルは「信頼できるアクセスプログラム」を通じて、ChatGPT、Codex、APIで研究プレビューとして提供されます。研究プレビュー期間中は、悪用を防止するための制限が適用されますが、クレジットやトークンを消費せずに利用可能です。
あわせて、研究の悪用に対する安全策として、米国の適格な企業顧客向けに限定して提供され、利用資格、アクセス管理、組織ガバナンスに関する制御が備えられています。
参加組織には、公共に利益をもたらす正当な科学研究の実施、適切なガバナンス、コンプライアンス、不正利用防止策の維持、承認されたユーザーのみに限定した安全な環境での運用が求められます。あわせて、継続的な参加の一環として、追加情報の提供が必要な場合もあります。
OpenAIは、本モデルをライフサイエンス向けシリーズの第一弾と位置づけています。今後はロスアラモス国立研究所などと継続的に連携し、AI誘導によるタンパク質および触媒設計、重要機能を維持または向上させる生物学的構造を改変する研究を進めるとしています。
出典:OpenAI
業務の課題解決に繋がる最新DX・情報をお届けいたします。
メールマガジンの配信をご希望の方は、下記フォームよりご登録ください。登録無料です。
AI製品・ソリューションの掲載を
希望される企業様はこちら